技术类型:
行业分类:
技术成熟度:
交易方式:
交易价格:
项目介绍成果(项目)简介:
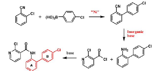
啶酰菌胺是由德国巴斯夫公司开发的新型烟酰胺类内吸性杀菌剂,其通用名为 Boscalid,具有广谱的杀菌性,几乎对所有类型的真菌病害都有活性,尤其对防治白粉病、灰霉病、菌核病和各种腐烂病等非常有效。由于其良好的应用性和持效性,啶酰菌胺得到了广泛的重视。至 2007 年已经取得 50 多个国家用于 100 种作物防治 80 种病害的登记。
技术指标和优势:
本课题开发了一条采用廉价易得的原料,经 Suzuki 偶联反应及相对无污染的后续反应合成啶酰菌胺的新路线,已成功地完成了小试研究。与巴斯夫的合成工艺相比较,我们使用了廉价易得的镍系催化剂代替了昂贵的钯催化剂,同时避免了因硝基还原而产生的环境污染及成本增加,具有生产成本低,对环境比较友好,污染小的优点。
